產品中心
中間繼電器 |
時間繼電器 |
電壓繼電器 |
電流繼電器(qì) |
過流繼電器 |
抗晃電(diàn)繼電器 |
雙位置繼電器 |
跳閘回路監視繼電(diàn)器 |
同步檢查繼電器 |
相(xiàng)序、斷線保(bǎo)護繼(jì)電器(qì) |
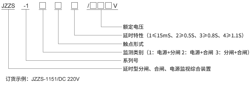
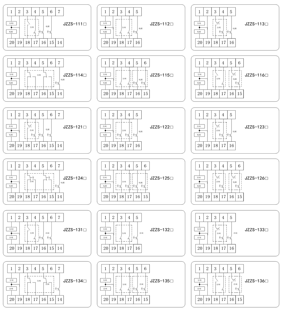
分閘、合閘、電源監視(shì)繼電器 |
閃(shǎn)光繼電器 |
衝擊繼電器 |
閉鎖繼電(diàn)器 |
信號繼電器 |
漏(lòu)電繼電器 |
組合式報警繼電器(qì)
微機綜合保護測控裝置 |
小型化保護裝置 |
電流型保護裝置 |
無源自供電保護 |
10KV通用保護 |
10KV通用保(bǎo)護測控 |
35KV通(tōng)用保護測控 |
電壓綜合測控單元 |
通用型(xíng)差動保護












